【问题描述】
某国有n个城市,为了使得城市间的交通更便利,该国国王打算在城市之间修一些高速公路,由于经费限制,国王打算第一阶段先在部分城市之间修一些单向的高速公路。
现在,大臣们帮国王拟了一个修高速公路的计划。看了计划后,国王发现,有些城市之间可以通过高速公路直接(不经过其他城市)或间接(经过一个或多个其他城市)到达,而有的却不能。如果城市A可以通过高速公路到达城市B,而且城市B也可以通过高速公路到达城市A,则这两个城市被称为便利城市对。
国王想知道,在大臣们给他的计划中,有多少个便利城市对。
【输入形式】
输入的第一行包含两个整数n, m,分别表示城市和单向高速公路的数量。
接下来m行,每行两个整数a, b,表示城市a有一条单向的高速公路连向城市b。
【输出形式】
输出一行,包含一个整数,表示便利城市对的数量。
【样例输入】
5 5
1 2
2 3
3 4
4 2
3 5
【样例输出】
3
【样例说明】

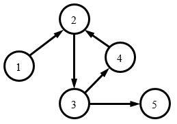
城市间的连接如图所示。有3个便利城市对,它们分别是(2, 3), (2, 4), (3, 4),请注意(2, 3)和(3, 2)看成同一个便利城市对。
【评分标准】
评测用例规模与约定
前30%的评测用例满足1 ≤ n ≤ 100, 1 ≤ m ≤ 1000;
前60%的评测用例满足1 ≤ n ≤ 1000, 1 ≤ m ≤ 10000;
所有评测用例满足1 ≤ n ≤ 10000, 1 ≤ m ≤ 100000。
| 难度等级: | 4 |
| 总通过次数: | 1 |
| 总提交次数: | 4 |